Publications
Publications by categories in reversed chronological order.
Preprints
2025
- arXiv
Quantum Critical Theories in a Periodic Potential: Strange Metallic Thermoelectric and MagnetotransportEric Nilsson and Koenraad SchalmDec 2025We study DC and AC thermoelectric and magnetotransport in 2D quantum critical theories with strong translational symmetry breaking due to a varying chemical potential lattice with zero average \barμ=0. The combination of quantum criticality and the absence of the average natural scale implies that such systems have idiosyncratic signatures that may apply more generally when the variance in the lattice potential far exceeds the average or for strong translational symmetry breaking in general. We model such theories holographically through near-extremal AdS black holes. We find that these systems (a) become \emphbetter conductors. In a 2D lattice, this can be explained by currents flowing around obstacles; (b) exhibit bad-metal electrical transport with Drude-like thermal transport, though it is not Drude, and, notably, (c) display an approximately B-linear longitudinal magnetoresistance at large fields, similar to Effective Medium Theory. We comment on how these results may apply when \barμ≠0.
@misc{nilsson_quantum_2025, title = {Quantum Critical Theories in a Periodic Potential: Strange Metallic Thermoelectric and Magnetotransport}, shorttitle = {Quantum Critical Theories in a Periodic Potential}, author = {Nilsson, Eric and Schalm, Koenraad}, year = {2025}, month = dec, number = {arXiv:2512.19480}, eprint = {2512.19480}, publisher = {arXiv}, doi = {10.48550/arXiv.2512.19480}, urldate = {2026-01-07}, archiveprefix = {arXiv}, }
2023
- arXiv
Shear Viscosity in Interacting Two-Dimensional Fermi LiquidsUlf Gran, Eric Nilsson, and Johannes HofmannDec 2023In interaction-dominated two-dimensional electron gases at intermediate temperatures, electron transport is not diffusive as in the conventional Drude picture but instead hydrodynamic. The relevant transport coefficient in this regime is the shear viscosity. Here, we develop a numerically exact basis expansion to solve the Fermi liquid equation, and apply it to compute the shear viscosity of the electron gas with screened Coulomb interactions. Our calculations are valid at all temperatures and in particular describe the response beyond the asymptotic low-temperature limit, where perturbative approaches exist. We show that even in this low-temperature limit, there is a nonanalytic exchange contribution to the shear viscosity, highlighting the need for a full nonperturbative solution of the Fermi liquid equation. We hope that the techniques developed in this work will serve as a platform to determine the response of interacting Fermi liquids.
@misc{gran_shear_2023, title = {Shear Viscosity in Interacting Two-Dimensional {{Fermi}} Liquids}, author = {Gran, Ulf and Nilsson, Eric and Hofmann, Johannes}, year = {2023}, month = dec, number = {arXiv:2312.09977}, publisher = {arXiv}, urldate = {2023-12-20}, archiveprefix = {arXiv}, copyright = {All rights reserved}, langid = {english}, eprint = {2312.09977}, }
Papers
2025
- PRX
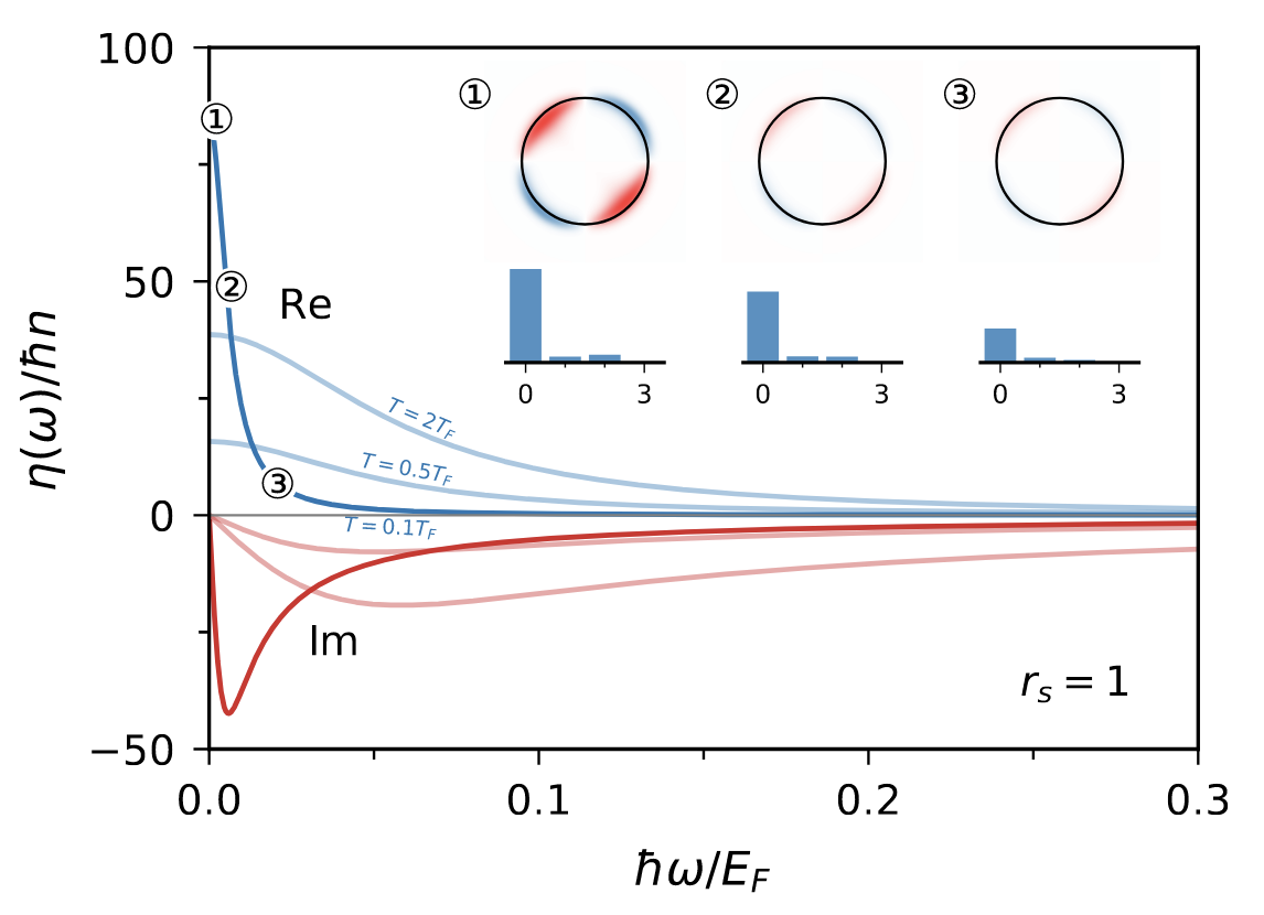
Nonequilibrium Relaxation and Odd-Even Effect in Finite-Temperature Electron GasesEric Nilsson, Ulf Gran, and Johannes HofmannPhysical Review X, Oct 2025Pauli blocking in Fermi liquids imposes strong phase-space constraints on quasiparticle lifetimes, leading to a well-known quadratic-in-temperature decay rate of quasiparticle modes at low temperatures. In two-dimensional systems, however, even longer-lived modes are predicted (dubbed “odd-parity” modes) that involve a collective deformation of the Fermi distribution. Here, we present an efficient method to evaluate the full spectrum of relaxational eigenmodes of a Fermi liquid within kinetic theory. We employ this method to study the experimentally relevant case of a Fermi liquid with screened Coulomb interactions and map out the decay rates of quasiparticle modes beyond the asymptotic low-temperature limit up to the Fermi temperature, thus covering the entire temperature range of typical experiments. We confirm the existence of anomalously long-lived odd-parity modes and provide a comprehensive classification and detailed analysis of the relaxation spectrum. In particular, we find that (i) the odd-parity effect in the decay rates extends to temperatures as large as T = 0.15 T_F, (ii) there is only a small number of long-lived oddparity modes, with an infinite number of remaining modes that show standard Fermi-liquid scaling, and (iii) the ratio between the odd- and even-parity lifetimes is tunable with the Coulomb interaction strength, in addition to temperature, which reflects a difference in the microscopic relaxation mechanism of the modes. Our findings provide a comprehensive description of the nonequilibrium relaxation behavior of twodimensional electron gases and bridge a significant gap in our understanding of these systems.
@article{nilsson_nonequilibrium_2025, title = {Nonequilibrium {{Relaxation}} and {{Odd-Even Effect}} in {{Finite-Temperature Electron Gases}}}, author = {Nilsson, Eric and Gran, Ulf and Hofmann, Johannes}, year = {2025}, month = oct, journal = {Physical Review X}, volume = {15}, number = {4}, pages = {041007}, issn = {2160-3308}, doi = {10.1103/ly37-5gdw}, urldate = {2025-10-25}, langid = {english}, publisher = {aps}, eprint = {2405.03635} }
Theses
2024
- Licentiate thesisElectron Transport and Collective Modes in Fermi and Non-Fermi LiquidsEric NilssonApr 2024
Today’s novel materials can display many interesting phases. Two-dimensional materials with strong electron-electron interactions allow the electrons to enter a hydrodynamic regime at intermediate temperatures. This thesis presents a method for an exact description of the quasiparticle distribution in terms of kinetic theory, valid beyond the asymptotic low-temperature regime used in perturbative approaches. This is used to obtain of the full mode spectrum of the interacting electron gas. At low temperatures, the existence of long-lived modes of odd parity hint at the existence of a new transport regime in between the limits of ballistic and hydrodynamic flow. The method is also used to determine the shear viscosity of the electron liquid beyond the low temperature limit. If the coupling becomes strong enough, it invalidates the quasiparticle picture, which undermines many established methods within many-body physics. This happens in the strange metal phase of high-temperature superconductors, where the holographic duality – providing a description of a strongly coupled theory in terms of a weakly coupled gravitational theory – serves as one of the few ways to study the strongly coupled physics. Recent experiments on strange metals show an incoherent plasmon at small momenta, in qualitative agreement with previous holographic models of bulk plasmons. However, the relevant experiments also couple to collective surface excitations, which hitherto has not been considered. This thesis also presents a model for surface plasmon polaritons using the holographic duality, improving the theoretical description of plasmons in strongly correlated materials.
@phdthesis{nilsson_electron_2024, type = {Licentiate {{Thesis}}}, title = {Electron {{Transport}} and {{Collective Modes}} in {{Fermi}} and Non-{{Fermi Liquids}}}, author = {Nilsson, Eric}, year = {2024}, month = apr, langid = {english}, school = {Chalmers University of Technology}, ulr = {https://research.chalmers.se/publication/540530}, }
2021
- MSc thesis
Surface Plasmon Polaritons in Strongly Correlated MediaEric NilssonChalmers University of Technology, Jun 2021The “strange metal” phase, exhibited by certain types of graphene and high-Tc superconductors above the transition temperature, sits at the frontier of condensed matter physics. However, successfully describing the phase proves to be a difficult task, as it is characterized by strong correlations, making conventional methods fail. Hence there is a need of novel approaches, where an alternative method comes from high-energy physics in the form of the holographic principle. It states that the strongly coupled theory can be mapped to a dual, weakly coupled, gravitational theory in one dimension higher, making calculations go from impossible to feasible. Surface plasmon polaritons (SPPs) are a valuable tool in an experimentalists toolbox, as they can serve as a probe of their surroundings. They may therefore useful in the design of the experiments needed to answer the questions about the strange metal phase. In this thesis, we model SPPs propagating on a strange metal in a holographic setting. By numerically solving unwieldy differential equations in the dual gravitational theory, with boundary conditions specified by the SPP system, we are able to obtain some numerical dispersion relations for the plasmons, although more work is needed. The results suggest that magnetic effects, which normally are suppressed, might come into play when the material is strongly correlated.
@mastersthesis{nilsson_surface_2021, title = {Surface {{Plasmon Polaritons}} in {{Strongly Correlated Media}}}, author = {Nilsson, Eric}, year = {2021}, month = jun, address = {Gothenburg, Sweden}, school = {Chalmers University of Technology}, ulr = {https://odr.chalmers.se/items/5c4c48ee-d08a-4891-9b00-51387ae8b281}, }